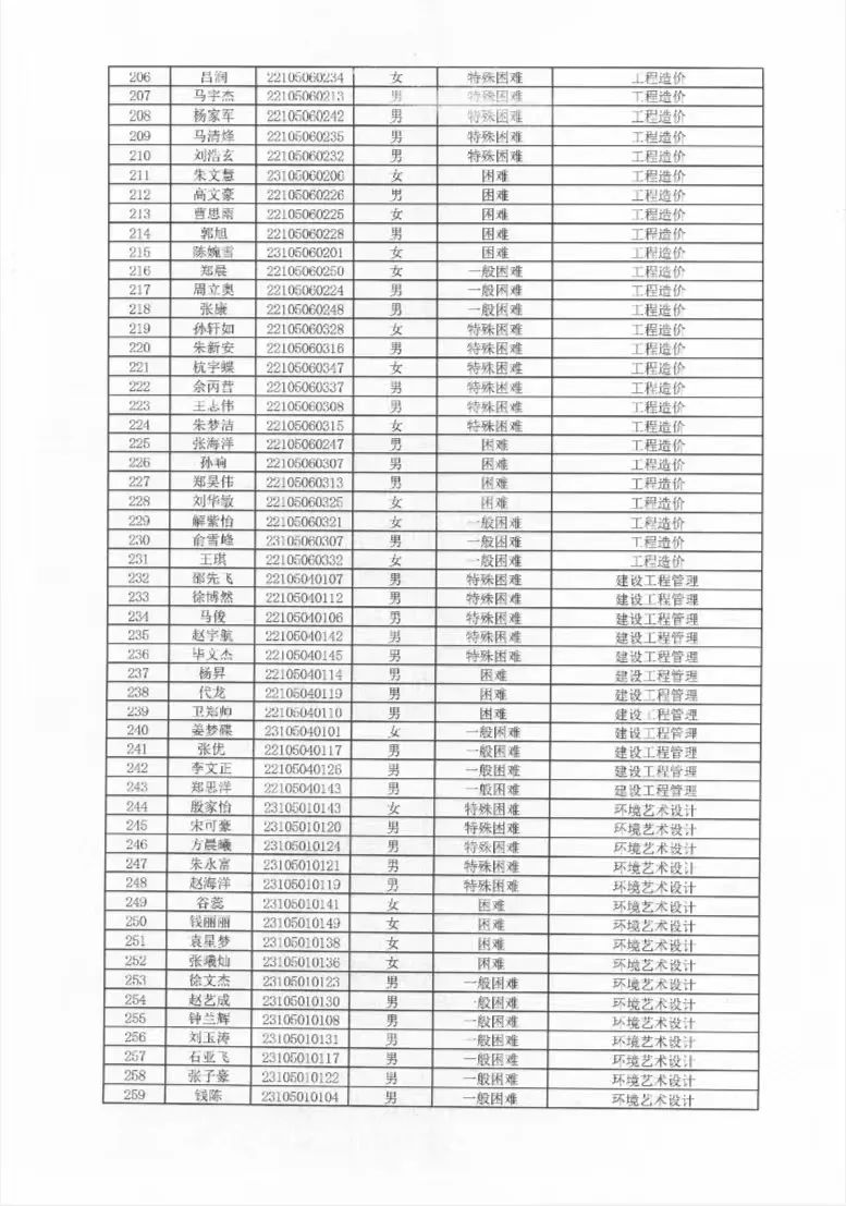
公示|建筑工程系2022-2023学年国家助学金名单公示

发布日期:2023-11-06 17:20:00 浏览次数:

f251543d353babebb4c8bc65315b3ed0.jpg

d9dbde939c9413c8f860580f4c6ccdb5.jpg

f33deb617504b1d57121cbd82afbf9d1.jpg

bb3783e7921d5e041432f54f91d3a02a.jpg

150a8c6e5e41f91581b2977264fb9910.jpg

b9b1418c0584b8d598bd84118d6a979c.jpg

cacdcc28e4c5e5918a1801200e0dc7b1.jpg


Baidu
map